Test Bank Lewis's Medical-Surgical Nursing: Assessment and Management of Clinical Problems 12th Edition by Hagler

Test Bank Lewis's Medical-Surgical Nursing: Assessment and Management of Clinical Problems 12th Edition by Hagler

Sale price  $15.99 Regular price  $18.99
Skip to product information
Test Bank Lewis's Medical-Surgical Nursing: Assessment and Management of Clinical Problems 12th Edition by Hagler

Test Bank Lewis's Medical-Surgical Nursing: Assessment and Management of Clinical Problems 12th Edition by Hagler

Sale price  $15.99 Regular price  $18.99
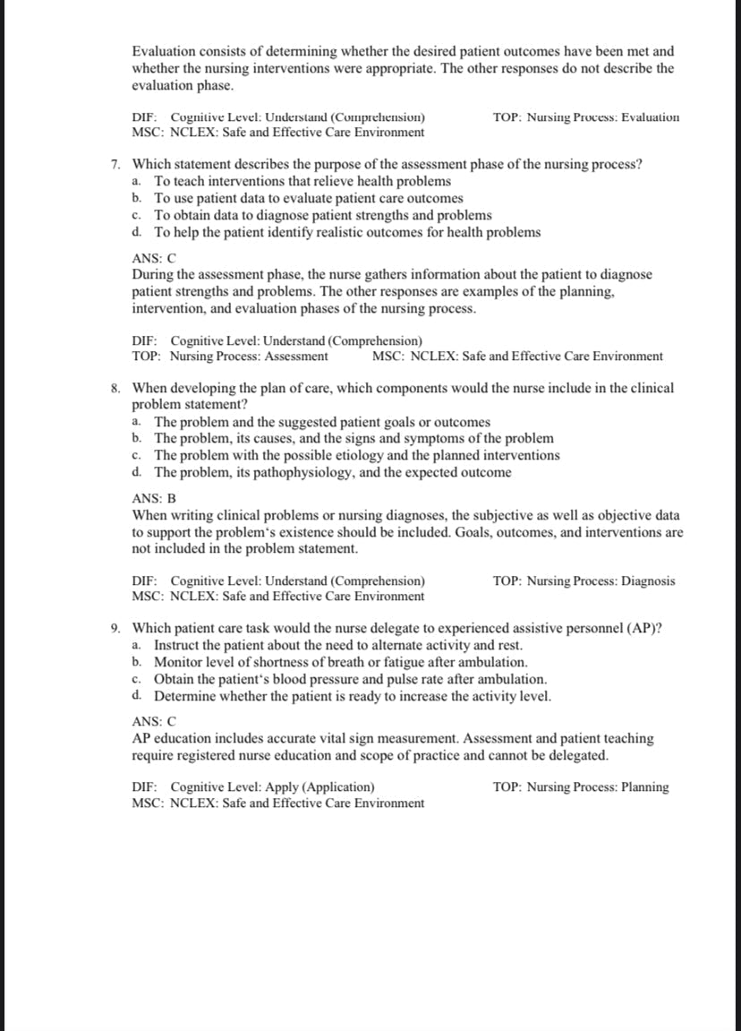
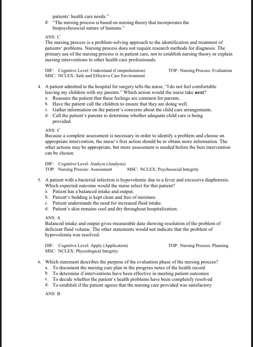
This test bank is designed to accompany the 12th edition of Lewis’s Medical-Surgical Nursing: Assessment and Management of Clinical Problems by Hagler. It provides a wide range of exam-style questions to help students strengthen their understanding of adult health and medical-surgical nursing.

Key topics include:
• Pathophysiology and clinical assessment of adult patients
• Evidence-based nursing interventions
• Pre- and post-operative patient care
• Management of chronic and acute conditions
• Patient safety, communication, and education
• Ethical and cultural considerations in adult care

This resource is ideal for RN and BSN students preparing for medical-surgical nursing courses, NCLEX, HESI, or other nursing exams.

 

What Is Included in This Test Bank

This Medical-Surgical Nursing test bank provides a comprehensive collection of exam-focused questions designed to help nursing students apply clinical reasoning and management principles to adult health and medical-surgical care scenarios.

Includes:

  • Multiple-choice and clinical scenario questions

  • Application-based questions focused on assessment, prioritization, and management of clinical problems

  • Detailed rationales explaining correct and incorrect answers

  • Content aligned with the 12th edition of Lewis’s Medical-Surgical Nursing: Assessment and Management of Clinical Problems by Hagler

You may also like