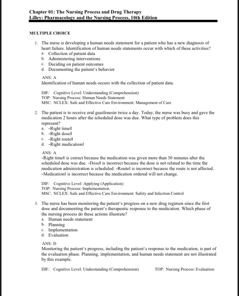
Test bank  Pharmacology and the Nursing Process, 10th Edition by Lilley

Test bank Pharmacology and the Nursing Process, 10th Edition by Lilley

Sale price  $15.00 Regular price  $19.00
Skip to product information
Test bank  Pharmacology and the Nursing Process, 10th Edition by Lilley

Test bank Pharmacology and the Nursing Process, 10th Edition by Lilley

Sale price  $15.00 Regular price  $19.00

This Test Bank is developed to accompany the 10th Edition of Pharmacology and the Nursing Process by Lilley.

It provides an extensive collection of exam-style questions designed to help nursing students understand pharmacologic principles and apply them within the nursing process framework.

Key topics include:

• Drug classifications, mechanisms of action, and pharmacokinetics

• Therapeutic effects, side effects, and contraindications

• Safe medication administration and dosage calculations

• Patient-centered care, teaching, and documentation

• Evidence-based pharmacology and clinical decision-making

This resource supports nursing students in mastering pharmacology content, developing critical thinking skills, and preparing effectively for academic and professional exams.

Includes:

• Multiple-choice and scenario-based questions

• Fully aligned with the 10th Edition textbook content

You may also like